Второй закон Ньютона, или основной закон динамики
Второй закон Ньютона – дифференциальный закон механического движения, который описывает зависимость ускорения (если ускорение отрицательно, то его называют замедлением) тела от равнодействующей всех приложенных к телу сил F1 и массы тела m в виде

Или ускорение, приобретаемое телом, прямо пропорционально вызывающей его силе F и совпадает с ней по направлению и обратно пропорционально массе m тела. Уравнения, соответствующие данному закону, называются дифференциальными уравнениями движения.

Рис. 2.1. Ускоренное движение автомобиля.
Так, например, если суммарная сила тяги на ведущих колесах переднеприводного автомобиля при его прямолинейном движении, как показано на рис. 2.1, постоянна и равна F, то этот автомобиль в данный момент времени t ускоряется в направлении действия этой силы с ускорением а:

Тогда при неизменном ускорении скорость автомобиля в некоторый момент времени t равна интегралу от выражения для ускорения плюс постоянная интегрирования – начальная скорость автомобиля в момент времени t=0:

Путь, пройденный автомобилем за время t, равен интегралу от его скорости плюс постоянная интегрирования – начальный путь автомобиля в момент времени t=0:

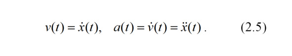
Выражения (2.2) и (2.3) можно записать как производные по времени, где первая производная по времени обозначается символом с точкой наверху, а вторая производная по времени – с двумя точками наверху: скорость есть первая производная от функции пути от времени, ускорение есть первая производная от функции скорости от времени и, соответственно, вторая производная от функции пути от времени:

В общем случае сила, ускорение и скорость – векторные величины. Тогда уравнения (2.2) – (2.5) записываются либо в векторном виде, либо в виде проекций на оси неподвижной системы координат.
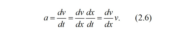
Чтобы получить связь скорости и пути ускорения (замедления) автомобиля, выражение для ускорения a из (2.5) можно записать в виде

После упрощения выражение (2.6) принимает вид

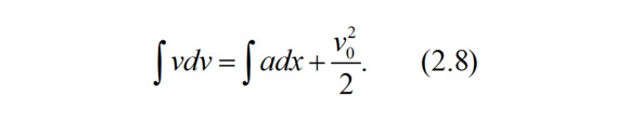
Тогда левую и правую части выражения (2.7) можно проинтегрировать, записав постоянную интегрирования в виде половины квадрата начальной скорости автомобиля:

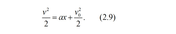
После интегрирования получаем

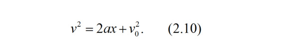
Откуда после преобразования выражение для квадрата скорости принимает вид

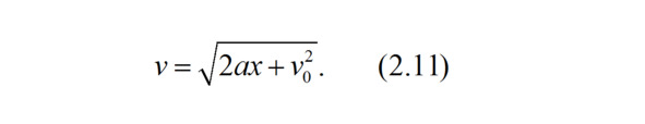
Или, извлекая квадратный корень из левой и правой части равенства (2.10), получаем выражение для скорости автомобиля v в м/с в зависимости от пути x, на котором автомобиль ускорялся или замедлялся:

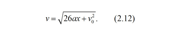
Выражение (2.11) может быть преобразовано для более привычной единицы измерения скорости транспортных средств в км/ч с учетом, что 1 м/с = 3.6 км/ч:

В выражении (2.12) использовано, что 2х3.62=25.92, или с округлением до целого равно 26.
Более 800 000 книг и аудиокниг! 📚
Получи 2 месяца Литрес Подписки в подарок и наслаждайся неограниченным чтением
ПОЛУЧИТЬ ПОДАРОКДанный текст является ознакомительным фрагментом.