Закон сохранения энергии
В традиционной судебной автотехнической экспертизе закон сохранения энергии применяется лишь частично. Для движения в плоскости эти методики учитывают лишь ту часть кинетической энергии автомобиля, которая затрачивается на его остановку путем торможения или заноса, или, иначе говоря, учитывают работу сил трения автомобиля с опорной поверхностью.
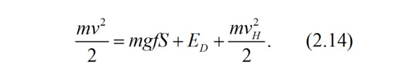
При столкновении автомобиля с другим транспортным средством или препятствием его кинетическая энергия EK расходуется на работу сил трения ET и на деформацию конструкций столкнувшихся объектов ED. Если в результате удара скорость автомобиля не погашена, то он имеет остаточную кинетическую энергию EO. Тогда уравнение баланса энергии можно записать в виде

Уравнение (2.13) может быть записано развернуто: с учетом массы автомобиля m, его скорости перед началом торможения или заноса v, коэффициента сцепления шин с опорной поверхностью f, пути во время торможения или заноса S и остаточной скорости vH в виде

Положим, как это и делает традиционная методика автотехнической экспертизы, равной нулю неизвестную величину затрат энергии на деформацию ED=0, и обозначим как замедление j произведение коэффициента сцепления шин с опорной поверхностью f и ускорения силы тяжести g
Более 800 000 книг и аудиокниг! 📚
Получи 2 месяца Литрес Подписки в подарок и наслаждайся неограниченным чтением
ПОЛУЧИТЬ ПОДАРОКДанный текст является ознакомительным фрагментом.