3.4. Формализация назначения наказания

В настоящее время в научной литературе по уголовному праву применительно к ограничению судейского усмотрения, повышению роли установленных в законе формальных правил назначения наказания все чаще начинает использоваться такой термин, как «формализация». При этом говорится как о формализованных пределах назначения наказания, так и о самой формализации назначения наказания. Например, В. М. Степашин и Р. Н. Хамитов рассматривают в качестве формализованных пределов назначения наказания правила назначения наказания за неоконченную преступную деятельность, при рецидиве, при наличии отдельных смягчающих наказание обстоятельств, а также при вердикте присяжных заседателей о снисхождении, установленные ст. 62, 65, 66, 68 УК РФ,[1280] Ю. В. Грачева пишет о нормах, «посредством которых реализована идея о частичной формализации процесса назначения наказания»[1281] (выделено нами. – A. С), А. П. Козлов говорит о «более жесткой формализации в законе назначения наказания».[1282]

Следует отметить, что сам термин «формализация назначения наказания» появился в отечественной науке уголовного права далеко не в последние годы. Он использовался учеными в работах, посвященных проблемам назначения наказания, в частности оценке при назначении наказания смягчающих и отягчающих обстоятельств, и раньше. Например, о формализации судебной деятельности в сфере назначения наказания говорил В. П. Нажимов.[1283] Кроме того, о формализации достаточно давно говорилось и при обсуждении других вопросов уголовного права. В частности, М. И. Ковалев в свое время рассматривал проблемы формализации уголовно-правовой нормы.[1284]

Однако, как представляется, употребление этого термина сдерживалось, да и сейчас еще сдерживается тем, что само слово «формализация» многими рассматривается как термин, указывающий на негативный процесс движения к формализму, который «в сфере социального управления… проявляется в бюрократизме, в преклонении перед буквой закона при полном пренебрежении к его смыслу и духу…».[1285] Думается, что именно поэтому, например, Л. Л. Кругликов, поддерживая высказанные В. П. Нажимовым предложения по формализации назначения наказания, посчитал нужным оговориться о том. что речь идет о формализации «в положительном смысле слова».[1286]

Между тем представляется, что само по себе понятие формализации является сугубо нейтральным. Слово «формализация» не имеет ни положительного, ни отрицательного смысла. Оно лишь обозначает процесс упорядочения, формирования четкой структуры чего-либо (например, научной теории, взаимоотношений между различными организациями, определенной деятельности и др.).

Следует отметить, что раньше в литературе довольно мало говорилось о формализации назначения наказания не только из-за чисто терминологического неприятия данного понятия, но и потому, что предложения по поводу новых, еще не известных нашему законодательству, способов формализации назначения наказания в течение длительного времени чаще сталкивались с критикой, чем получали поддержку. Здесь не стала исключением даже идея законодательной оценки правового значения ряда обстоятельств дела, которая в конце концов все-таки была воспринята законодателем при подготовке ныне действующего УК РФ. Она подвергалась критике уже в начале своего становления.[1287]

Однако, несмотря на достаточно небольшое количество литературы по данному вопросу, думается, что авторы, поднимавшие проблемы формализации назначения наказания, считали их актуальными вполне справедливо. Тем более уместно говорить об этом явлении в настоящее время, когда УК РФ уже воспринял некоторые предложенные в теории способы формализации назначения наказания, ранее в законе не использовавшиеся.

«Большая советская энциклопедия» определяет формализацию как представление какой-либо содержательной области (рассуждений, доказательств, процедур классификации, поиска информации научных теорий) в виде формальной системы или исчисления. При этом отмечается, что полностью могут быть формализованы лишь элементарные теории с простой логической структурой и небольшим запасом понятий (например, исчисление высказываний и узкое исчисление предикатов в логике, элементарная геометрия в математике). Если же теория сложна, она принципиально не может быть полностью формализована.[1288]

Деятельность по выбору вида и размера наказания за совершенное преступление осуществляется в соответствии с правилами, требованиями и критериями, установленными в уголовном законе. Его требования должны соблюдаться при назначении наказания в обязательном порядке. Соответственно, для того чтобы то или иное правило начало применяться при назначении наказания, необходимо внести его в уголовный закон. Таким образом, местом формализации назначения наказания является уголовный закон, и осуществляется она путем внесения в него соответствующих норм.

Исходя из сказанного, формализацию назначения наказания можно определить как подчинение выбора вида и размера наказания за совершенное преступление системе установленных в уголовном законе правил, требований, критериев, ограничивающих возможность произвольного назначения наказания.

Мерилом формализованности выступает не количество правил, касающихся выбора вида и размера наказания, а то, насколько они в этом вопросе ограничивают усмотрение судьи, предопределяют выбор вида и размера наказания. Чем сильнее формализация, тем меньше сфера судейского усмотрения. Чем больше сфера судейского усмотрения, тем слабее формализация.

Полностью формализованным процесс назначения наказания можно считать тогда, когда установленные в законе правила в каждом конкретном случае жестко предопределяют выбор вида и размера наказания за совершенное преступление. Напротив, о полном отсутствии формализации говорить можно тогда, когда суд ничем не связан в выборе вида и размера наказания и может за любое преступление назначить по своему усмотрению любое наказание.

Сегодня уголовный закон содержит достаточно много положений, касающихся выбора вида и размера наказания. Однако нельзя сказать, что закон четко определяет вид и размер наказания в каждом конкретном случае. Напротив, судье предоставляется достаточно большая свобода в выборе наказания. Следовательно, применительно к действующему законодательству мы можем говорить об определенной степени формализованности назначения наказания.

Формализация назначения наказания не тождественна дифференциации уголовной ответственности.

Прежде всего, отличие заключается в том, что в первом случае речь идет о назначении наказания, а во втором – об уголовной ответственности в целом, т. е. о более общем понятии. Думается, что здесь следует согласиться с высказанным в литературе мнением о том, что само лишение и ограничение прав и свобод преступника, составляющее содержание конкретного уголовного наказания, не является формой реализации уголовной ответственности,[1289] однако элементом уголовной ответственности выступает «назначение наказания путем избрания вида и размера, а также определение его к фактическому отбыванию».[1290] Тем не менее указанное отличие дифференциации уголовной ответственности и формализации назначения наказания не касается сущности этих явлений и связано скорее с традициями, которых авторы придерживаются при обсуждении соответствующих вопросов. Так, несмотря на то, что обычно говорят о дифференциации уголовной ответственности в целом, можно начать обсуждать и более узкий вопрос о дифференциации одного лишь уголовного наказания, что, кстати, многие авторы и делают. Например, И. И. Карпец пишет об индивидуализации наказания в законе, по существу понимая под ней дифференциацию наказания.[1291]

Основное же отличие формализации назначения наказания от дифференциации уголовной ответственности заключается в том, что сущность формализации состоит в установлении определенной системы критериев выбора наказания, в то время как дифференциация предполагает оформление в законе наказаний. Фактически формализация выступает в качестве способа дифференциации. Соответственно это два различных процесса, которые могут происходить независимо друг от друга. Сегодня эти процессы неразрывно связаны. Осуществляя формализацию назначения наказания, увеличивая сферу законодательного регулирования этого вопроса, законодатель одновременно усиливает и дифференциацию наказания, устанавливая в законе его градацию в зависимости от тех обстоятельств, которые до этого должны были оцениваться при индивидуализации назначения наказания на основе усмотрения судьи.

Нельзя сказать, что до сих пор уголовное право не было формализованным. Фактически становление данной отрасли права, по существу, является одним сплошным потоком последовательной формализации, постепенным сужением судейского усмотрения. Коротко рассмотрим эти этапы.

Среди требований, предъявляемых к наказанию, одним из центральных является требование его справедливости. В литературе не раз отмечалось, что «только справедливое решение суда о виде и размере наказания способствует укреплению законности, поднятию авторитета судебных органов».[1292] Обеспечению справедливости в данной сфере служит и формализация назначения наказания.

Представления о справедливости в целом прошли длительную эволюцию, что не удивительно, поскольку это одна их важнейших нравственных, этических категорий, которая всегда играла большую роль в жизни общества. У различных людей и групп людей идеи справедливости могут очень существенно отличаться друг от друга. В обществе одновременно существуют очень разные понятия о справедливости, вплоть до прямо противоположных. Существуют и базовые представления о справедливости, которые лежат в основе организации и жизни общества. Но и они в различных условиях проявляются по-разному. Это осознавалось достаточно давно: уже Аристотель говорил о «распределяющей справедливости» и «уравнивающей справедливости». По его мнению, вопрос об «уравнивающей справедливости» встает в том числе тогда, когда кому-либо причинен вред.[1293] Сегодня в УК РФ прямо говорится о том, что понимается под справедливостью применительно к уголовному закону. В ч. 1 ст. 6 УК РФ указано, что справедливость рассматривается как соответствие наказания и иных мер уголовно-правового характера, применяемых к лицу, совершившему преступление, характеру и степени общественной опасности преступления, обстоятельствам его совершения и личности виновного.

Из указанных положений закона вытекает, что тогда, когда характер и степень общественной опасности преступлений, обстоятельства их совершения и характеристики личности виновных совпадают (или почти совпадают), справедливые наказания должны быть равны или, по крайней мере, близки друг к другу. В остальных случаях наказания должны отличаться. И не просто отличаться, а отличаться в той мере, в которой отличаются общественная опасность преступлений, обстоятельства их совершения и личности виновных. Этого можно достичь, только обеспечив во всех случаях единый подход к назначению наказания. Не могут быть справедливыми наказания, назначенные произвольно, исходя из различного подхода к оценке общественной опасности совершенных преступлений, обстоятельств их совершения и личности виновных. Соответственно основное назначение установления пределов судейского усмотрения при назначении наказания состоит в том, что, устраняя судебный произвол, оно обеспечивает единый подход к назначению наказаний, который является одним их важнейших условий его справедливости.

Установление самостоятельной санкции за каждое преступление уже ограничивает судейское усмотрение при назначении наказания. Различные санкции за разные преступления стали устанавливаться в уголовном законодательстве достаточно давно. В связи с этим необходимо, прежде всего, определиться с тем, для чего потребовалось использование при формализации назначения наказания различных средств и не является ли оно излишним, нельзя ли продолжить формализацию назначения наказания путем использования уже существующих способов формализации, в частности путем сужения или расширения рамок санкций, установленных за отдельные преступления.

В литературе уже давно отмечалась связь между формами диспозиции и санкции уголовного закона. О такой связи говорил еще М. Д. Шаргородский, который отмечал, что чем шире диспозиция (чем более обобщенный характер носит описание признаков состава преступления), тем шире должны быть рамки санкций, и наоборот. «В то же время, – справедливо утверждал ученый, – следует иметь в виду, что между формой диспозиции и формой санкции имеется непосредственное диалектическое взаимодействие, заключающееся в том, что широкие диспозиции требуют и широких рамок относительно определенных санкций, и, напротив, абсолютно определенные санкции применимы лишь при узких рамках диспозиций. Абсолютно определенные санкции требуют чрезвычайной детализации составов, что неприемлемо для советского права. Широкие рамки относительно определенных санкций логически связаны с широкими диспозициями, охватывающими разнообразные деяния. Они лишают точности и определенности, вредят стабильности закона, способны исказить в отдельных случаях линию уголовной политики и могут лишить возможности правильно анализировать преступность».[1294]

Таким образом, если законодатель не идет по пути сильной детализации составов и соответственно значительного увеличения их числа, то с учетом требования справедливости, которое заключается в том, что санкция должна давать возможность учитывать индивидуальные особенности и преступления, и личности виновного, абсолютно определенные и даже достаточно узкие относительно определенные санкции, он сможет формулировать только в сравнительно редких случаях. Соответственно ограничение судейского усмотрения путем установления санкций за отдельные преступления имеет свои пределы. Дробление установленных составов, создание квалифицированных и привилегированных норм приводит к увеличению объема закона, которое сильно усложняет его применение и не может продолжаться бесконечно.

В то же время развитие представлений о справедливости уголовного наказания требует учета при его назначении все новых и новых обстоятельств, для чего приходится расширять границы санкций. А сам по себе этот процесс, в свою очередь, ведет к расширению судейского усмотрения, увеличению неопределенности и разнобоя в наказаниях, что не отвечает принципу справедливости.

Таким образом, на определенном этапе развития законодательства законодатель оказался вынужден решать вопрос о регламентации выбора вида и размера наказания теперь уже в рамках санкции. Исторически средством решения этого вопроса, найденным законодателем, стало определение в законе круга обстоятельств, которые должны влиять на выбор конкретного вида и размера наказания в рамках санкции, которое привело к созданию институтов смягчающих и отягчающих обстоятельств. Они, по сути, стали служить средством, указывающим судье на то, какие обстоятельства он должен учитывать при назначении наказания, и на то, каково направление влияния этих обстоятельств, т. е. какое обстоятельство влияет на наказание в сторону его увеличения, а какое – в сторону уменьшения.

Однако само по себе установление в законе перечней смягчающих и отягчающих обстоятельств ограничивает судейское усмотрение при назначении наказания достаточно слабо, поскольку размер влияния обстоятельств на наказание остается не определен. В связи с этим возможности продолжения формализации назначения наказания путем установления смягчающих и отягчающих обстоятельств относительно невелики.

С развитием общества требования, предъявляемые к справедливости наказания и единству карательной политики, продолжают возрастать. Сегодня одно только установление перечней смягчающих и отягчающих обстоятельств все чаще оказывается неспособно обеспечить достижение тех целей, которые ставятся перед наказанием. Простой перечень таких обстоятельств, как показала практика, нередко превращается в фикцию. Многие авторы, ссылаясь на проведенные ими исследования, говорят о том, что суд, назначая наказание, ограничивается лишь указанием на те или иные смягчающие и отягчающие обстоятельства, а реально при определении меры наказания либо вообще их не учитывает, либо неправильно оценивает степень их влияния на меру наказания.[1295]

В связи с этим законодатель в наше время ищет пути для дальнейшей формализации назначения наказания и, не ограничиваясь простым установлением в законе перечней смягчающих и отягчающих обстоятельств, пытается давать им правовую оценку, определяя степень их влияния на наказание не только путем создания квалифицированных и привилегированных составов в Особенной части УК РФ, но и путем закрепления в Общей части УК норм, в которых указывается, как и насколько должно измениться наказание при наличии того или иного смягчающего или отягчающего обстоятельства.

Анализируя пределы судейского усмотрения при назначении наказания, нельзя не отметить, что существуют правовые системы, в которых основным источником права является не закон, а судебный прецедент. В связи с этим необходимо рассмотреть вопрос о роли в назначении наказания судебного прецедента.

В специальном исследовании, посвященном вопросам судебного прецедента, К. А. Волков определяет его как официально опубликованное решение высшего судебного органа по конкретному делу. Это решение является обязательным для судов той же или низшей инстанции при решении аналогичных дел либо служит примерным образцом правоприменительной конкретизации закона, не имеющим обязательной силы.[1296] Основное отличие систем, основанных на прецедентном праве, состоит в отношении к уже вынесенным судебным решениям, к тем не закрепленным в законе нормам и принципам, которые из них следуют. Как отмечал известный английский юрист Р. Кросс, «в системе, основанной на прецедентном праве, судья при рассмотрении последнего по времени дела обязан принимать во внимание эти нормы и принципы, в то время как в некоторых других правовых системах они служат всего лишь материалом, который судья может учитывать при вынесении собственного решения».[1297]

Центральная идея отправления правосудия в системах, основанных на прецедентном праве, состоит в том, что сходные дела должны разрешаться сходным образом. Нетрудно заметить, что она в той или иной степени характерна и для иных правовых систем. Разница состоит скорее в том, что в системах, основанных на прецедентном праве, она реализуется через обязанность суда следовать в своей деятельности решениям по сходным делам, вынесенным ранее этим же или вышестоящим судом, в то время как в иных системах реализация данной идеи осуществляется через обязанность всех судов следовать единому нормативному акту. Думается, что судебные прецеденты способны ограничивать усмотрение конкретного судьи ничуть не меньше, а иной раз даже и больше, чем закон. Таким образом, судебный прецедент тоже своего рода средство формализации деятельности суда, которое существенно ограничивает возможность принятия им произвольных решений.

Несмотря на то, что в отечественной правовой системе судебный прецедент официально не признается источником права, нижестоящие судебные инстанции все равно ориентируются на практику вышестоящих. В связи с этим можно говорить, что и в России судебный прецедент, по крайней мере в виде учета решений вышестоящих судебных инстанций, играет очень большую роль. Изменение практики Верховного Суда РФ по определенной группе дел может влиять на деятельность нижестоящих судов не менее сильно, чем изменение закона.

Определенную роль играет судебный прецедент и в сфере выбора вида и размера наказания за совершенное преступление. Во всяком случае, вышестоящие судебные инстанции нередко отменяют решения нижестоящих судов по причине чрезмерной суровости или мягкости назначенного наказания. Очевидно, что судья, если он не хочет, чтобы его решения изменялись или отменялись, будет согласовывать свою деятельность по выбору вида и размера наказания с деятельностью вышестоящего суда.

Здесь уместно поставить вопрос о том, стоит ли идти по пути формализации назначения наказания в законе и не следует ли ограничить усмотрение судов путем признания источником права судебного прецедента, обязав нижестоящие судебные инстанции жестко следовать решениям вышестоящих.

Думается, что в отечественной правовой системе ограничение судейского усмотрения в сфере назначения наказания путем признания источником права судебного прецедента и жесткого закрепления обязанности судов следовать в этом вопросе решениям вышестоящих судебных инстанций будет иметь ряд недостатков по сравнению с законодательной формализацией назначения наказания.

Во-первых, при таком решении вопроса в любом случае останется непонятно, при наличии каких обстоятельств дела суд может отступить от решения вышестоящей судебной инстанции и назначить наказание, не соответствующее тому, которое по данной категории дел обычно назначается вышестоящей инстанцией.

Во-вторых, во многих случаях будет возникать ситуация, когда соответствующий прецедент, содержащий правовую норму, будет формироваться не только после совершения преступления, но и уже после рассмотрения дела судом первой инстанции, в ходе пересмотра этого же дела вышестоящим судом. А это нежелательно с точки зрения правил действия уголовного закона во времени, которые требуют, чтобы преступность и наказуемость деяния определялась законом, действовавшим во время совершения преступления (ч. 1 ст. 7 УК РФ). Получится, что норма, фактически определяющая размер наказания, в некоторых случаях формируется после совершения преступления или может быть в любой момент изменена в обход правил об обратной силе уголовного закона, поскольку судебный прецедент – это не закон, а самостоятельный источник права. Причем он может формироваться или изменяться только при рассмотрении конкретных дел, и применительно к этим делам его создание до совершения преступления невозможно в принципе.

В-третьих, деятельность судов и участников уголовного процесса осложнится тем, что им придется отслеживать многочисленные разрозненные решения по большому числу дел, в которых может содержаться применимая к данному случаю норма. Нормы, вытекающие из судебных прецедентов, или же сами судебные прецеденты все равно придется так или иначе обобщать, как это делается в правовых системах, основанных на прецедентном праве при издании соответствующих сборников судебных решений. Соответственно изначально кодифицированный правовой акт будет иметь здесь неоспоримые преимущества, хотя бы в плане удобства его использования.

В-четвертых, даже если мы признаем источником права судебный прецедент в сфере назначения наказания, никто и ничто на законной основе не сможет заставить независимые суды вышестоящих инстанций жестко контролировать соответствие наказаний, назначенных нижестоящими судами, судебным прецедентам. Никто не сможет указать судам, что разброс наказаний в сходных случаях должен быть именно таким, а не больше. Вышестоящие суды и сегодня имеют право отменить или изменить приговор по причине несправедливости назначенного наказания, и от того, появится ли в законе норма о том, что судебный прецедент является источником права или нет, мнение вышестоящих судов о допустимой разнице в наказаниях, назначенных разными судьями по сходным делам, не изменится. Соответственно реально судебный прецедент после официального признания его источником права едва ли станет влиять на наказание больше, чем сейчас. Влияние судебного прецедента на решения по конкретным делам определяется в первую очередь объемом полномочий вышестоящих судебных инстанций и их желанием обеспечивать единообразие судебной практики, а не тем, есть в законе норма о том, что судебный прецедент признается источником права, или нет. Это позволяет говорить о том, что само по себе признание судебного прецедента источником права едва ли существенно увеличит его влияние на практику.

В-пятых, судебный прецедент – это все-таки перенос решения по чужому уголовному делу на живую ткань совершенного данным виновным преступления, что очень далеко от справедливости, поскольку нет абсолютно одинаковых преступлений и нет абсолютно одинаковых преступников.

На основе изложенного можно сделать вывод о том, что в отечественной правовой системе признание судебного прецедента источником права не заменит законодательного ограничения пределов судейского усмотрения при назначении наказания.

Следует, однако, отметить, что далеко не все авторы являются сторонниками формализации назначения наказания, даже в том виде, в котором она существует в настоящее время. Так, в литературе высказывались предложения о том, чтобы «не детализировать в кодексе составы преступлений, а по возможности излагать их в обобщенном виде»[1298] и соответственно расширить рамки санкций. Под сомнение ставится и возможность выработки определенных правил, в соответствии с которыми должно избираться наказание в рамках санкции статьи УК. В частности, некоторые авторы утверждают, что «логически обосновать назначение конкретного наказания за конкретное преступление вообще невозможно»,[1299] что судья назначает наказание, в сущности, не с разумной, а с эмоциональной позиции.[1300]

При изучении существующей судебной практики, в самом деле, может сложиться такое впечатление. Но можно рассудить и иначе. Назначение наказания требует от суда прежде всего логического мышления, глубокого анализа, тонкого расчета, формирования не только общего впечатления в результате ознакомления с материалами дела, как это зачастую происходит в настоящее время, но и осмысления всей совокупности и отдельных обстоятельств содеянного и личности виновного. Деятельность суда по назначению наказания должна быть не эмоциональна, а разумна, она должна подчиняться логическим законам и осуществляться в соответствии с определенными правилами, которые нужно установить в Уголовном кодексе.

Если бы процесс избрания наказания представлял собой нечто нелогичное, иррациональное, интуитивное, неподконтрольное, не подчинялся бы определенным правилам и законам мышления, тогда, действительно, не осталось бы ничего другого, как положиться в этом вопросе только на правосознание судьи, и ни о каком требовании единства карательной практики, ни о каких критериях проверки правильности назначенного судом наказания не могло бы идти и речи. Но если согласиться с тем, что судебная деятельность по выбору наказания носит, на самом деле, логичный, рациональный характер и поддается правовому регулированию, то с учетом ее большой значимости и сложности вполне резонно ставить вопрос о подчиненности ее определенным правилам, закрепленным в законе, а не только правосознанию судьи.

Однако даже среди тех, кто не отрицает разумности и логичности деятельности судьи по назначению наказания, идея конкретизации правового значения обстоятельств дела при назначении наказания имеет как сторонников, так и противников. Последние выдвигают тот довод, что восприятие такой идеи привело бы к усложнению деятельности суда, внесло бы в эту деятельность вредные для правосудия элементы формализма.[1301] Сторонники этой идеи, напротив, опираются на то соображение, что «формализация» (в хорошем смысле слова) была бы «лучшим способом ограничения и преодоления возможного субъективизма судей», важным «средством дальнейшего укрепления начал законности в уголовном правосудии».[1302] По их мнению, конкретизация правового значения обстоятельств дела не только не усложнит деятельность судов, но и на деле окажет помощь практике, поскольку она повлечет за собой процесс детализации судебной деятельности, облегчит ее осуществление, предоставив в распоряжение судьи относительно четкие ориентиры, создав достаточно конкретные представления о роли в наказании отдельных обстоятельств дела.[1303]

В связи с этим на протяжении уже достаточно большого периода времени высказывались предложения о необходимости конкретизировать в законе меру влияния на наказание определенных обстоятельств дела.[1304] При этом отмечалось, что оценка значения этих обстоятельств в законе обеспечит их реальное влияние на наказание и заставит поверить в реальность такого влияния.

Оценивая развернувшуюся в литературе дискуссию по поводу необходимости дальнейшей формализации назначения наказания, можно прийти к выводу о том, что четкие критерии выбора меры наказания, безусловно, необходимы. Здесь следует согласиться с И. М. Гальпериным, заметившим, что «правосудие, естественно, менее всего нуждается в нивелировке, стандартизации и т. п. Но нельзя мириться с тем, что лица, совершающие аналогичные преступления и характеризующиеся приблизительно одинаково, приговариваются к резко различным видам и срокам наказания. Задача заключается в том, чтобы, не нарушая принципов отправления правосудия, применять единые критерии при оценке смягчающих и отягчающих обстоятельств».[1305]

При этом необходима конкретизация в законе правового значения не только одного-двух смягчающих или отягчающих обстоятельств, но и возможно большего числа всех обстоятельств дела. В результате смягчающие и отягчающие обстоятельства будут более заметно влиять на наказание. Будет понятно, каким образом суд учел то или иное обстоятельство и насколько от этого изменилось наказание. В итоге повысится значимость ссылок в приговорах на конкретные обстоятельства дела и возрастет превентивная роль перечней смягчающих и отягчающих обстоятельств.

Законодательная оценка меры влияния на наказание конкретных обстоятельств дела является одним из наиболее перспективных направлений формализации назначения наказания, и представляется, что дальнейшая формализация пойдет именно по этому пути.

Думается, что формализация назначения наказания в сфере законодательной оценки правового значения обстоятельств дела будет иметь следующие положительные последствия:

1. Она обеспечит единообразное применение закона и устранит негативные последствия, вызванные большой разницей в наказаниях, назначаемых различными судами по сходным делам.

2. Процесс применения закона не только не сделается сложнее, но и упростится. Судья получит ориентир, на который он будет опираться, назначая наказание, в то время как при недостаточном законодательном регулировании этой сферы он вынужден опираться только на свой опыт и судебную практику.

3. Закон станет эффективным инструментом, при помощи которого можно будет воздействовать на судебную практику. Судебная практика будет формироваться в соответствии с четкими положениями закона, а не стихийно. В результате государство получит возможность формировать практику судов таким образом, чтобы она соответствовала целям проводимой уголовно-правовой политики и способствовала укреплению законности и правопорядка.

4. Смягчающие и отягчающие обстоятельства будут более зримо влиять на наказание. В результате повысится значимость в глазах граждан ссылок в приговорах на конкретные обстоятельства дела и возрастет превентивная роль перечней смягчающих и отягчающих обстоятельств.

5. Повысится воспитательное значение приговоров судов, поскольку гражданам станут более понятны мотивы выбора судом конкретного вида и размера наказания.

6. Появится возможность назначения справедливого наказания на основе закона, а не исходя из субъективных представлений о справедливости того или иного судьи.

Следует отметить, что в Особенной части законодатель уже давно оценивает отдельные отягчающие и смягчающие обстоятельства путем построения квалифицированных составов. Поэтому вопрос состоит еще и в необходимости унификации смягчающих и привилегирующих, отягчающих и квалифицирующих обстоятельств и переносе их оценки в Общую часть, в том виде, в каком это может быть сделано, и должны ли при этом соответствующие квалифицирующие и привилегирующие обстоятельства остаться в Особенной части.

Высказанное в литературе мнение о необходимости унификации отягчающих и квалифицирующих обстоятельств[1306] вполне обоснованно. Здесь можно согласиться с тем, что существенных различий между отягчающими и квалифицирующими обстоятельствами по их характеру и содержанию не существует.[1307] В связи с этим препятствий для их унификации нет; в то же время такая унификация несет с собой ряд положительных моментов, в частности, она способствует более полному учету соответствующих обстоятельств, обосновывает признание тех или иных обстоятельств квалифицирующими, отразит наиболее существенные обстоятельства, которые как индивидуальные особенности могут характеризовать то или иное преступление, и т. д.[1308]

Что касается вопроса о том, предполагает ли оценка правового значения определенного обстоятельства дела в Общей части уголовного закона исключение этого обстоятельства из числа квалифицирующих (привилегирующих) обстоятельств, то здесь следует отметить, что с принятием Федерального закона от 8 декабря 2003 г. № 162-ФЗ «О внесении изменений и дополнений в Уголовный кодекс Российской Федерации» законодатель ответил на этот вопрос положительно. Во всяком случае, такое оцененное в Общей части отягчающее обстоятельство, как судимость, с принятием данного закона было исключено из числа квалифицирующих обстоятельств, т. е. перестало использоваться для создания квалифицированных составов в Особенной части УК. По данному поводу мнения авторов разошлись. А. П. Козлов считает, что, во-первых, исключение судимости из квалифицирующих признаков ничего не доказывает, поскольку она не признана и отягчающим обстоятельством; отражение рецидива в ст. 63 УК – это лишь частичное отражение судимости. Мало того, исключение судимости как квалифицирующего обстоятельства само по себе весьма проблематично, сделано законодателем спонтанно, без надлежащего анализа, тогда как проблемы множественности преступлений в законе разрешены ненадлежащим образом и требуют более глубокого осмысления. Во-вторых, ничего страшного при исключении из Особенной части УК, квалифицирующих и привилегирующих обстоятельств не произойдет. При надлежащей оценке всех смягчающих и отягчающих обстоятельств, произведенной в Общей части УК, общество получит компактную Особенную часть и понятную для правоприменителя ситуацию, согласно которой он должен будет воспринять два основных правила: 1) каждое из предусмотренных в законе обстоятельств распространяется на все предусмотренные законом виды преступлений, правда, с учетом их особенностей (трудно представить кражу, совершенную из сострадания); 2) оценка обстоятельств неизменна применительно ко всем видам преступлений и в равной мере увеличивает или уменьшает наказание.[1309] По мнению А. П. Севастьянова, перенос оценки вообще всех обстоятельств дела в Общую часть УК едва ли возможен и целесообразен. Оценка правового значения одних обстоятельств дела должна сочетаться с построением на основе других обстоятельств квалифицированных и привилегированных составов. При этом в Общей части УК целесообразно оценивать те обстоятельства, влияющие на общественную опасность достаточно большого количества из предусмотренных в Особенной части преступлений, а на основе специфических обстоятельств, которые могут иметь место применительно лишь к небольшому числу преступлений, строить квалифицированные и привилегированные составы.

Серьезного обсуждения заслуживает также вопрос о том, каким образом обозначить в Общей части УК силу влияния на наказание обстоятельств дела. Здесь возможны различные варианты.

Вид и размер наказания зависят прежде всего от общественной опасности деяния и лица, его совершившего. Исходя из этого, задачу оценки обстоятельств дела и соответственно формализации назначения наказания можно решать путем измерения общественной опасности и последующего сопоставления с определенным значением общественной опасности соответствующего вида и размера наказания.

Под измерением понимается соотнесение числовых форм с объектами или событиями согласно определенным правилам. Предпосылкой измерения является реальное существование подобия (гомоморфизма) между объектом и событиями, с одной стороны, и математическими моделями, образуемыми числовыми обозначениями и связывающими их операциями, – с другой. Если этот гомоморфизм достаточен, мы можем раскрыть истину относительно некоторых свойств объекта, используя его модель.[1310]

А. Г. Аганбегян и В. Н. Шубкин в свое время отметили: «Мы не знаем таких явлений, которые нельзя было бы выразить в количественной форме для решения практических задач».[1311] В соответствии с этой позицией измерение общественной опасности, т. е. соотнесение с ней определенных числовых форм, отнюдь не является неразрешимой задачей. Причем приведенная точка зрения далеко не редкость. Кроме уже упоминавшихся выше авторов на принципиальную возможность решения данной задачи указывали и другие ученые, в частности А. А. Герцензон.[1312]

Однако для измерения общественной опасности недостаточно сделать вывод о принципиальной возможности таких измерений. Необходимо также установить, на каком уровне, иначе говоря, по какой шкале такое измерение возможно.

Шкала представляет собой определенную измерительную систему для получения оценки. Основанием построения шкалы является наличие двух полярностей у одного качества, свидетельствующее о существовании между ними континуума.[1313] Любая шкала имеет содержательную и кодовую (знаковую) части. Содержательная часть представляет собой континуум измеряемого признака, а кодовая (знаковая) – его оценки, выраженные в определенной системе знаков, чаще всего – чисел. Соответственно под шкалированием понимается упорядочение множества свойств реальных объектов (предметная область) относительно множества знаков (область модели) посредством правила упорядочения, позволяющего изоморфно отобразить элементы и отношения между ними в предметной области через элементы и отношения в области модели.[1314] Длина шкалы при этом отражает расстояние от минимума до максимума измеряемых характеристик, а пункты (деления) шкалы выступают как эталоны качественной классификации свойств или признаков.[1315]

В зависимости от того, какая процедура соотнесения числовых форм с объектами применяется исследователем, выделяется несколько уровней (или шкал) измерений. Относительно их числа в литературе нет единства. В настоящей работе представляется возможным вслед за Ю. Д. Блувштейном ограничиться рассмотрением только трех шкал измерений: шкалы наименований (или номинальной), шкалы порядка (ординарной) и шкалы отношений (основной).[1316]

Номинальная шкала (шкала наименований) предполагает всего лишь перенумерацию объектов. В этой шкале числа используются как имена измеряемых объектов, т. е. своеобразный поисковый код. При таком подходе числа могут быть совсем произвольными, как это имеет место, например, при нумерации участников спортивной команды.[1317]

Измерение по шкале наименований можно описать следующим образом. Пусть имеется некоторое множество Р и подлежащий измерению конкретный объект х. Тогда измерение по шкале наименований записывается в виде дизъюнкции . Символом  в теории множеств обозначается, что некоторый объект является элементом данного множества, а символом  – что объект не является элементом данного множества.[1318] Символ  читается как «или» в исключающем значении данного логического союза, т. е. данный символ означает, что истинно может быть только одно из соединенных данным символом высказываний, одновременная истинность обоих высказываний исключается.[1319] Таким образом, измерение по шкале наименований сводится к установлению истинности одного из двух высказываний: х является элементом множества Р или х не является элементом множества Р.

Ординарная шкала (в криминологических исследованиях наряду с термином «ординарная» Ю. Д. Блувштейн использует для ее обозначения термин «шкала порядка»,[1320] а В. Л. Чубарев – термин ранговая шкала»[1321]) применяется тогда, когда можно обнаружить в предметах различие степеней выраженности определенного признака или свойства.

«Прежде чем статистический материал, т. е. результаты массовых наблюдений, будет подвергаться дальнейшему анализу и обобщению, позволяющим делать из него определенные выводы, ему должны быть приданы определенная форма и ясная структура».[1322] Именно в выявлении и описании определенной формы множества, установлении его упорядоченности и состоит отличие ординарной шкалы от шкалы наименований.

Измерение по ординарной шкале означает упорядочивание элементов множества Р {х1, х2, х3, …, xn}, позволяющее установить для любых  отношение хi > хj. или хi < хj. Соответственно ординарная шкала допускает наряду с рассмотренной выше математической операцией установления равенства или неравенства еще и операцию сравнения, т. е. установления того, больше один из измеренных по этой шкале объектов другого или меньше. Других математических операций ординарная шкала проводить не позволяет.

При построении ординарных шкал стараются по возможности сохранять разность между мерами соседних объектов неизменной величиной (т. е. обеспечить, чтобы тi – тi-1 = а, где а – величина постоянная). В связи с этим нужно особо подчеркнуть, что расстояние между двумя соседними числами (номерами) на ординарной шкале не имеет значения.[1323] Создающееся здесь равенство интервалов носит лишь иллюзорный характер. Ординарная шкала показывает интенсивность качества, но не его величину.[1324] На данном уровне измерения нельзя ответить на вопрос о том, насколько один объект превосходит другой по силе выраженности измеряемого признака; фиксируется только сам факт превосходства.

Шкала отношений (основная шкала) возникает тогда, когда разница числовых показателей, присвоенных объектам, соответствует разнице в значении измеряемого признака. Наряду с операциями установления равенства или неравенства и сравнения измерение по шкале отношений дает возможность обрабатывать полученные значения при помощи всех прочих алгебраических операций. Иначе говоря, измерение по шкале отношений, в отличие от измерения по ординарной шкале, позволяет ответить не только на вопрос о том, отличаются ли объекты по измеряемому свойству, но и насколько они отличаются. В шкале отношений уже выбирается единица измерения (градус, метр, грамм и т. д.) и точка начала отсчета.

Возможность применения для обработки полученных значений всех алгебраических операций делает использование в измерениях шкалы отношений наиболее перспективным. Однако именно построение шкалы отношений вызывает и наибольшие трудности в криминологических исследованиях. Это касается и вопросов измерения общественной опасности.

Выход, который на сегодняшний день предлагает теория измерений, состоит в применении балльных оценок, т. е. переводе качественных признаков в своеобразные количественные путем присвоения им определенных значений – баллов.

В отечественной юридической науке системы, основанные на балльных оценках общественной опасности, были предложены и разрабатывались уже достаточно давно.

Таблица 4

Пример математических эквивалентов, присвоенных Н. Д. Оранжиреевым

Личный эквивалент на основе таблицы вычисляется по формуле

n = L ? ? ? ?.

Например, укрывательство женщиной убийства определяется как n = L ? ? ? ? = 1200 ? 0,95 ? 0,70 = 798. Обстоятельства дела оцениваются автором при помощи присвоения им определенных коэффициентов. При этом регламентируется значение рецидива, возраста, преднамеренности и т. д.

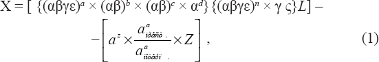
Окончательно мера несения ответственности (общественная опасность) вычисляется по формуле:[1325]

где L – математический эквивалент преступления, Z – мера личной вины вызвавшего (при внешней вызванности преступления), а остальные переменные – коэффициенты, сопоставленные автором по конкретным обстоятельствам дела.

Несомненным достоинством системы измерения общественной опасности, предложенной Н. Д. Оранжиреевым, является то, что она может быть использована на практике для назначения наказания и предназначена в первую очередь именно для этого. Сопоставление преступления и наказания становится возможным благодаря тому, что автор делит наказание по видам и срокам и так же, как и преступлениям, присваивает им математические эквиваленты: более высокий – более тяжкому наказанию, и наоборот. Кроме того, наказание должно понизиться на величину смягчающих обстоятельств F (F = A ? B ? C ? D).[1326]

Из более поздних исследований, посвященных измерению общественной опасности, следует отметить прежде всего труды Ю. Д. Блувштейна и В. Л. Чубарева.[1327]

Работы Ю. Д. Блувштейна могут служить одним из наиболее удачных примеров применения балльных оценок для измерения общественной опасности преступлений. Автор достаточно обстоятельно рассмотрел возможность и необходимость применения балльных оценок для измерения общественной опасности, провел измерения общественной опасности 20 наиболее распространенных на тот момент преступлений по ординарной шкале, а затем, использовав данные экспертами балльные оценки общественной опасности этих преступлений, перешел к измерению их уже по шкале отношений.[1328]

При этом автором была отмечена высокая степень соответствия мнений различных экспертов друг другу, о которой свидетельствуют значения рассчитанных им коэффициента ранговой корреляции Спирмэна (на этапе измерений по ранговой шкале) и среднего квадратического отклонения (применительно к балльным оценкам).[1329] Это свидетельствует о большой надежности полученных данных, поскольку основным критерием надежности экспертного измерения общественной опасности преступлений является достижение экспертами определенного согласия. Такой критерий применяется не только для оценки надежности полученных результатов криминологических исследований, но и широко используется как одна из гарантий правильности принимаемых решений в самом уголовном процессе. Так, в литературе уже давно отмечалось, что разрешение вопроса судом, состоящим из трех равноправных и независимых судей, является одной из гарантий наименьшей вероятности попадания на скамью подсудимых невиновных лиц.[1330]

По результатам исследования были получены следующие данные об общественной опасности некоторых преступлений (табл. 5).[1331]

Таблица 5

Пример количественных (балльных) оценок степени общественной опасности некоторых преступлений, полученных Ю. Д. Блувштейном

Ю. Д. Блувштейн полученные им данные о степени общественной опасности различных преступлений использует для построения модели структурно-динамических колебаний преступности[1332] и сопоставления закона с правосознанием работников правосудия. На основе этого сопоставления автором была выдвинута гипотеза о наличии существенных противоречий в оценке тяжести некоторой части преступных деяний как между правосознанием отдельных групп работников правосудия, так и между общественным правосознанием в целом и несколькими нормами уголовного закона.[1333] Представляется, что эти данные могут быть использованы и для формализации выбора вида и размера наказания за совершенное преступление.

Следует отметить, что, параллельно с попытками измерения общественной опасности на основе экспертных оценок, в отечественной науке исследовались возможности проведения такого измерения на базе наказаний, назначенных судами, а также исходя из санкций, установленных за соответствующие преступления уголовным законом. В частности, С. Е. Вицин указывал на возможность использования «вида и размера наказания, предусмотренного уголовным законом за совершение преступления конкретного вида, как меры его общественной опасности».[1334] При этом автор отметил, что для соизмерения общественной опасности отдельных видов преступлений такой путь является наиболее простым.[1335]

В свою очередь, примером оценки общественной опасности на основе наказаний, назначаемых судами, могут послужить работы Д. О. Хан-Магомедова, который предложил ввести индекс применения наказания (индекс жесткости судебной репрессии), для вычисления которого им были введены условные обозначения степени тяжести отдельных видов наказания и сроков лишения свободы. При этом за единицу было принято осуждение к одному году лишения свободы. Соответственно осуждение к лишению свободы на сроки свыше одного года было приравнено к числу лет (2, 3, 4 и т. д.). Осуждение к одному году исправительных работ автор посчитал равным 0,33, осуждение к другим основным мерам наказания, не связанным с лишением свободы, – 0,1, а условное осуждение как разновидность освобождения от наказания приравнял к нулю.[1336]

Сам индекс применения наказания (индекс жесткости судебной репрессии) вычисляется по формуле[1337]

где К – общий индекс применения наказаний (индекс жесткости судебной репрессии), к1, к2, к3… кn – индексы тяжести различных мер наказания и лишения свободы на различные сроки, п1, п2, п3… пп – количество осужденных к каждой основной мере наказания, а также к лишению свободы на разные сроки, N – общее количество осужденных ко всем мерам наказания, включая условно осужденных.

Несмотря на то, что сам Д. О. Хан-Магомедов называет предложенный им индекс индексом применения наказаний (индексом жесткости судебной репрессии), его можно рассматривать и как показатель общественной опасности. То же самое можно сказать и о предложенном В. В. Ореховым сравнительном коэффициенте тяжести преступлений, который также вычисляется автором на основе назначенных судами наказаний, хотя и по несколько иной формуле.[1338]

Идеи оценки общественной опасности на основе наказаний, назначенных судами, путем приведения различных видов наказаний к одному эталону – лишению свободы, были поддержаны и А. С. Шляпочниковым, который предложил собственные коэффициенты для перевода различных наказаний в лишение свободы.[1339] При этом автор отметил, что ему «представляется приемлемой балльная (выделено нами. – А. С.) оценка степени общественной опасности совершенных преступлений, исходя из назначенных за них судом наказаний».[1340] В качестве такой оценки А. С. Шляпочников рассматривает коэффициент общественной опасности преступлений, который представляет собой сумму всех назначенных судами наказаний, переведенных в лишение свободы. Соответственно, коэффициент опасности одного преступления вычисляется как отношение указанной суммы наказаний к числу преступлений, за которые они были назначены,[1341] т. е., по существу, по той же формуле, которая была предложена Д. О. Хан-Магомедовым для вычисления индекса применения наказания (индекса жесткости судебной репрессии).

Присоединившись к точке зрения о необходимости оценки общественной опасности различных преступлений на базе фактически назначаемых судами наказаний, Л. Савюк, со своей стороны, подверг критике метод измерения общественной опасности на основе экспертных оценок, разработанный Ю. Д. Блувштейном.[1342] При этом Л. Савюк предложил считать показателем общественной опасности индекс, рассчитанный по средней величине фактически назначаемых судом наказаний по каждой категории преступлений, а для сравнительной оценки тяжести различных видов уголовных наказаний использовать приведенные выше методики Д. О. Хан-Магомедова и А. С. Шляпочникова.[1343]

Среди предложений по измерению общественной опасности можно отметить также высказанное в литературе мнение о необходимости проводить окончательную оценку степени и характера общественной опасности преступлений, на основе некоего совокупного индекса, который наряду с наказаниями, назначенными судами, должен учитывать установленные уголовным законом санкции, а также указанные в законе признаки, характеризующие элементы состава преступления: объект посягательства; объективную сторону (тяжесть последствий, способ, время, место совершения преступления); субъективную сторону (умышленная или неосторожная форма вины, мотив, цель) и т. д.[1344]

Не вдаваясь в дискуссию о преимуществах измерения общественной опасности на основе экспертных оценок, установленных в законе санкций или же фактически назначаемых судами наказаний отметим, что, на наш взгляд, каждый из этих способов нахождения количественного показателя общественной опасности представляет самостоятельную ценность и имеет право на существование. Как отметил А. С. Шляпочников, «количественная оценка степени общественной опасности преступлений по балльной системе может быть определена, исходя либо из экспертных оценок, либо из вида и размера наказания, предусмотренного законом, либо из оценки совершенного преступления, исходя из назначенного судом виновному наказания».[1345] Соответственно предложенные методы измерения общественной опасности нужно, скорее, не противопоставить, а объединить. Представляется, что в вычислении показателей общественной опасности на основе различных методик заложен достаточно большой потенциал, заключающийся, в частности, в возможности сравнения оценок общественной опасности разных преступлений, даваемых экспертами, законодателем и судебной практикой. Подобное сравнение провел, например, Ю. Д. Блувштейн.[1346]

Данная позиция приемлемости всех методов исчисления поддержана А. П. Севастьяновым. Однако у А. П. Козлова она вызывает сомнения. Дело в том, что экспертные оценки всегда ненадежны: соберите экспертную группу из единомышленников и вы получите достаточно совпадающие оценки; создайте экспертную группу из неединомышленников и вы получите результат, описанный дедушкой Крыловым в известной басне о лебеде, раке и щуке. Очень наглядный пример приведен в предисловии к работе А. Ф. Кистяковского: видный криминалист Миттермайер начал свою научную карьеру как сторонник смертной казни, но к концу жизни (за 19 лет до смерти) он становится противником смертной казни.[1347] Нетрудно представить себе мнение этого ученого при его включении в экспертные группы по вопросу о смертной казни в начале его научной деятельности и ближе к ее концу. Мало того, выше уже продемонстрированы различные подходы различных авторов к экспертным оценкам, к критериям их установления, к формированию коэффициентов оценки. Вот эта ненадежность экспертных оценок не позволяет в полную меру их применять. На взгляд А. П. Козлова, экспертные оценки общественной опасности видов преступлений будут полезными лишь в качестве разработок для законодательных предположений и только в том случае, если они предложены различными экспертными группами.

В более поздний период достаточно удачную попытку построить систему оценки общественной опасности на основе балльных оценок, предпринял В. Л. Чубарев, разработки которого получили высокую оценку Ю. Д. Блувштейна.[1348] В. Л. Чубарев оценивает общественную опасность уже не только преступления, но и личности, причем примененная им методика позволяет оценивать общественную опасность конкретных деяний. В своем исследовании автор сам сопоставляет полученным им показателям общественной опасности определенные виды и размеры наказаний[1349] и оценивает соответствие назначаемых судами наказаний показателям общественной опасности.[1350]

Измерение общественной опасности, проводимое автором, носит интегральный характер и охватывает как основные признаки деяния, так и существенные характеристики лица, совершившего это деяние. Для измерения общественной опасности используется 12 позиций личности и 15 признаков деяния, вытянутых в континуум, насчитывающий 201 позицию. В число обстоятельств, оцененных автором, вошли такие признаки, как возраст, образование, состояние здоровья, размер ущерба, способ посягательства и т. д.

Для вычисления суммарной общественной опасности на основании построенной шкалы оценки обстоятельств, характеризующих общественную опасность деяния и личности виновного, В. Л. Чубарев использует в качестве модели общественной опасности прямоугольный треугольник (рис. 5), «катеты которого будут символизировать направленность и величину общественной опасности личности и ее деяния, а гипотенуза ограничит объем общественной опасности преступления как площадь, замкнутую между найденными значениями общественной опасности личности и деяния».[1351] При этом общественная опасность вычисляется автором как площадь данного треугольника.[1352]

Рис. 6. Модель общественной опасности, предложенная В. Л. Чубаревым

На основе приведенной (рис. 6) В. Л. Чубаревым модели вычисляются значения общественной опасности по конкретным делам и сопоставляются с назначенными наказаниями. При этом автор считает нормой колебания разрывов кривых наказания и общественной опасности ±6 месяцев и отмечает, что при уменьшении шага до 3 месяцев он натолкнулся на непреодолимые трудности, поскольку правильно назначенное, т. е. соответствующее такой норме, наказание становится исключением из правил.[1353]

Говоря о различных способах формализации назначения наказания, следует обратиться к еще одной такой системе, которая от всех, приведенных выше, отличается тем, что она реализована на практике и успешно действует в течение 20 лет. Речь идет о действующих в США Федеральных руководствах по назначению наказаний, которые вступили в силу 1 ноября 1987 г.[1354]

Федеральные руководства по назначению наказаний на сегодняшний день представляют собой достаточно значительный по объему документ, включающий более 500 печатных страниц, не считая различных изменений и дополнений.

Основой Руководств является приведенная ниже таблица по назначению наказаний (табл. 6). Таблица построена по двум параметрам. Вертикальная ось отражает 43 уровня преступлений. Горизонтальная делит таблицу на 6 столбцов и классифицирует криминальное прошлое осужденного. В графах таблицы указаны соответствующие уровню преступления и криминальному прошлому осужденного минимальные и максимальные размеры наказаний в месяцах. Как видно из таблицы, расстояние между минимальными и максимальными пределами наказаний достаточно незначительно. Но по мере увеличения тяжести наказания оно увеличивается. Если при наказаниях до двух лет девяти месяцев лишения свободы разрыв между минимумом и максимумом не превышает шести месяцев, то далее он становится равным уже семи месяцам лишения свободы и достигает своего максимума в 81 месяц (6 лет 9 месяцев) лишения свободы при назначении наказаний, максимальный предел которых равен 33 годам 9 месяцам лишения свободы. Таким образом, можно отметить, что свобода судейского усмотрения, предоставленная при назначении наказания судье в США, существенно меньше свободы, предоставленной в этом вопросе его российскому коллеге.

Таблица б

Таблица наказаний из Федеральных руководств по назначению наказаний США

SENTENCING TABLE (in months of imprisonment)

Основное содержание Федеральных руководств по назначению наказаний посвящено порядку исчисления уровня преступления и категории преступника. Естественно, что сколько-либо полно отразить содержание такого большого акта, как Федеральные руководства по назначению наказаний, в рамках настоящей работы не представляется возможным. Поэтому ограничимся лишь некоторыми примерами и общими характеристиками, показывающими степень формализованности назначения наказания и формализованности учета при назначении наказания обстоятельств дела. Определению уровня преступления посвящены вторая и третья главы Руководств. Во второй главе регламентируется уровень преступления и порядок формализованной оценки большинства наказуемых в уголовно-правовом порядке деяний, предусмотренных федеральными законами. Например, для определения уровня кражи судье нужно обратиться к части «В» главы второй, в п. «а» § 2В1.1. которой указан базовый уровень кражи – 4. В п. «b» данного параграфа установлен порядок изменения базового уровня в зависимости от обстоятельств дела. Так, если стоимость похищенного не превышает $100, то базовый уровень не изменяется, если стоимость похищенного составляет от более $100, но не превышает $1000, к базовому уровню необходимо прибавить 1, и далее согласно приведенной ниже таблице (табл. 7):

Таблица 7

Таблица увеличения базового уровня кражи в зависимости от стоимости похищенного из Федеральных руководств по назначению наказаний США

Кроме формализации учета размера хищения, который, несомненно, является одной из важнейших характеристик, влияющих на общественную опасность, а соответственно и на наказание, Руководства содержат правила, регламентирующие учет и других, в том числе достаточно редко встречающихся, обстоятельств. Так, если преступление связано с похищением «торгового секрета» и обвиняемый знал или предполагал, что совершает преступление в интересах какого-либо иностранного правительства, иностранного представительства или иностранного агента, уровень увеличивается на 2 (пп. (7) п. «b» § 2В1.1.). Аналогичным образом регламентирована и оценка других квалифицирующих обстоятельств.

Уровень преступления, определенный в соответствии со второй главой, в дальнейшем корректируется с учетом положений главы третьей, которая регламентирует влияние на наказание различных обстоятельств, объединенных в пять групп, каждой из которых посвящена одна из следующих частей данной главы:

Part A-Victim-Related Adjustments;

Part В-Role in the Offense;

Part C-Obstruction;

Part D-Multiple Counts;

Part E-Acceptance of Responsibility.

Указанные части включают в себя формализованные оценки различных обстоятельств, относящихся соответственно к потерпевшему, роли осужденного в преступлении, обструкции (воспрепятствованию правосудию), множественности преступлений и осознанию вины.

Ниже приводится по одному примеру оценки определенного обстоятельства дела из каждой части третьей главы. Например, если обвиняемый знал или должен был знать, что потерпевший был необычно уязвим в силу возраста, физического или умственного состояния, или что потерпевший по иным причинам был особенно чувствителен к криминальному воздействию, уровень преступления увеличивается на 2 (§ 3А1.1. (b)). Если обвиняемый был, например, организатором преступления или лидером преступных действий, в которых участвовало пять и более человек, уровень преступления увеличивается на 4 (§ 3В1.1. (а)). Если обвиняемый преднамеренно препятствовал, или затруднял, или пытался воспрепятствовать, или затруднить осуществление правосудия во время расследования, судебного разбирательства или вынесения приговора, уровень преступления увеличивается на 2 (§ 3С1.1.). Если обвиняемый ясно демонстрирует принятие на себя ответственности за преступление, уровень преступления понижается на 2 (§ 3Е1.1. (а)).

Применительно к определению уровня содеянного при множественности преступлений действует довольно сложная система взаимосвязанных правил, закрепленная в части «D» главы третьей Руководств. Отдельное правило, взятое в качестве примера, вне этой системы не даст представления о назначении наказания при множественности преступлений. Поэтому мы укажем на последовательность действий суда при наличии множественности преступлений.

Согласно § 3D1.1. Руководств, когда подсудимый обвиняется более чем по одному пункту (т. е. более чем в одном преступлении), суд должен:

(1) Сгруппировать пункты, по которым выносится приговор, в отдельные группы близких преступлений, по правилам, содержащимся в § 3D1.2.

(2) Определить уровень преступления применительно к каждой группе, применяя правила, закрепленные в § 3D1.3.

(3) Определить уровень совокупности преступлений для всех групп, взятых вместе, по правилам, предусмотренным в § 3D1.4.

Нетрудно заметить, что при определении уровня практически в любом случае множественности преступлений судье придется обращаться к правилам, закрепленным в трех различных параграфах части «D» третьей главы руководств.

После определения уровня преступления судье необходимо оценить преступное прошлое осужденного, согласно правилам, изложенным в четвертой главе Руководств. На вопрос об отнесении криминального прошлого осужденного к той или иной категории влияет количество прошлых судимостей, вид отбывавшихся наказаний, их срок, возраст осужденного, вид суда, место осуждения и ряд других обстоятельств.

В части «В» четвертой главы отдельно установлены специальные правила определения уровня преступления и категории преступного прошлого осужденного для особо опасных рецидивистов и лиц, для которых преступная деятельность – существенный источник дохода. Для последних, например, уровень преступления должен быть не ниже 13.

После определения уровня преступления и категории преступного прошлого осужденного по таблице наказаний (табл. 6) устанавливается минимальный и максимальный срок наказания в месяцах. Например, при уровне преступления 14 и категории преступного прошлого осужденного IV судья может назначить наказания от 27 до 33 месяцев лишения свободы. Если максимум наказания, установленного уголовным законом за соответствующее преступление, оказывается ниже предела наказания, определенного в соответствии с Руководствами, применяется максимум санкции закона. Несмотря на то, что таблица наказаний регламентирует выбор только одного вида наказаний – лишения свободы, ее используют и при назначении других видов наказаний. Например, обычную пробацию (аналог российского условного осуждения) можно назначить, если минимальный срок лишения свободы по таблице равен нулю, при этом если уровень преступления не выше шести, то ее срок не должен превышать 3 лет.

Размер штрафов определяется по специальной таблице, в которой в зависимости от уровня преступления устанавливаются минимальные и максимальные пределы штрафа.

При назначении конкретного вида и срока наказания суд должен учесть ряд характеристик личности осужденного, оценка которых производится на неформализованной основе: возраст, образование, профессиональный уровень, умственное и эмоциональное состояние, физическое состояние, в том числе зависимость от наркотиков и алкоголя, трудовую деятельность, семейное и общественное положение. В отношении указанных признаков Руководства содержат общие установки, которые должны быть положены в основу их оценки и учета. Например, при учете возраста осужденного судьи должны исходить из того, что возраст, как правило, не может служить основанием ни для отступления от пределов наказания, установленного Руководствами, ни для определения вида наказания там, где они предусматривают такой выбор. В то же время возраст может быть основанием для назначения наказания ниже предела, предусмотренного Руководствами, если осужденный престарелый и немощный и если форма наказания (например, домашнее заключение) может быть в равной степени эффективнее и дешевле, чем тюремное заключение. Если подсудимому назначается пробация или освобождение под надзор, то возраст может быть учтен при определении срока и условий этих наказаний.

Связанность суда Руководствами не абсолютна. Закон устанавливает (Свод законов США, т. 18, § 3553/b/), что суд может в случае установления обстоятельств, которые не были адекватно учтены при составлении конкретного руководства, выйти за пределы наказаний, предусмотренных Руководствами. В главе пятой (часть «К») руководств содержится примерный перечень таких обстоятельств с общими установками по их оценке. В числе этих обстоятельств названы: наступление в результате преступления смерти человека, телесного повреждения, тяжелого психического потрясения, уменьшенная вменяемость, повреждение или уничтожение имущества, использование огнестрельного оружия и т. д.

Принятие Руководств вызвало достаточно противоречивую реакцию юридической общественности США, и было поддержано далеко не всеми. В 1989 г., через два года после вступления в силу Руководств, Верховным судом США было рассмотрено дело Мистретта против США, в котором оспаривалась их конституционность. По мнению истца, принятие Руководств нарушило закрепленный в Конституции США принцип разделения властей путем:

а) учреждения комиссии по назначению наказания (которой и были разработаны Федеральные руководства по назначения наказаний) как органа судебной власти;

б) включения в состав комиссии трех федеральных судей;

в) установления возможности смещения членов комиссии Президентом;

г) чрезмерного делегирования власти Конгрессом США комиссии.

В ноябре 1989 (через два года после принятия Руководств) Верховный Суд США признал указанные доводы истца несостоятельными, а сами Руководства соответствующими Конституции. Тем самым была открыта дорога повсеместному применению Руководств в деятельности судов.

Руководства отнюдь не являются статичным актом, поскольку в них постоянно вносятся различные изменения и дополнения, в связи с этим необходимо сказать несколько слов о порядке разработки и принятия самих Руководств и изменений в них.

Руководства были разработаны федеральной комиссией по назначению наказаний, которая была учреждена в соответствии с принятым Конгрессом США Комплексным актом по борьбе с преступностью (Свод законов США, т. 28, § 991 (а)). В 1985 году такая комиссия была сформирована. Она состоит из 7 членов с правом голоса и одного – с правами совещательного голоса. Сама комиссия представляет собой независимый орган, относящийся к судебной ветви власти. Назначаются члены комиссии Президентом США по совету и с согласия Сената, им же они и смещаются в оговоренных законом случаях. Членами одной партии могут быть не более четырех членов комиссии. В комиссию должны входить три федеральных судьи, четыре специалиста в различных областях: экономист, профессор уголовного права, ученый-бихевиорист и представитель системы исправительных учреждений. Восьмым членом комиссии, обладающим правом совещательного голоса, является Генеральный атторней (или его заместитель), который входит в нее по должности.

Основной задачей комиссии является установление единой политики и практики в назначении наказаний для федеральной системы правосудия, которая и осуществляется путем разработки детальных Руководств, предписывающих назначение определенного наказания за преступления, предусмотренные федеральным законом. Созданные комиссией Руководства и изменения к ним представляются в Конгресс и получают силу закона, если он их не отменит.

Учреждая федеральную комиссию по назначению наказаний, Конгресс установил цели наказания, достижение которых должны обеспечивать Руководства, и целый ряд параметров, которым они должны соответствовать. Основные из них состоят в следующем:

а) Руководства должны быть нейтральными к расе, полу, национальности, происхождению и социально-экономическому статусу преступника;

б) обеспечивать назначение сурового наказания лицам, осужденным или имеющим судимости за тяжкие насильственные преступления, преступления, связанные с наркотическими средствами, а также осужденным, которым преступная деятельность давала значительную часть дохода;

в) исходить из нецелесообразности применения лишения свободы к лицам, впервые совершившим преступление;

г) максимальный срок лишения свободы не должен превышать минимальный более чем на 25 % или 6 месяцев (Свод законов США, т. 28, § 994).

Причиной принятия Конгрессом Комплексного акта по борьбе с преступностью и дальнейшей разработки Федеральных руководств по назначению наказания явились, прежде всего, различия в назначении наказаний, по поводу которых американский профессор уголовного права П. Робинсон отмечал, что «различия в сфере назначения наказаний – источник большой несправедливости, и эта несправедливость приносит дурную славу системе уголовного правосудия, поскольку такая слава означает, что наказание, которое получает правонарушитель, зависит от судьи, который рассматривает дело, а не от преступления, которое он совершил».[1355] В связи с этим интересно посмотреть на то, какие различия в назначенных наказаниях казались американским юристам чрезмерно большими. Говоря о «чрезвычайно больших» различиях в назначении наказаний за одинаковые преступления, вызывавших обеспокоенность юридической общественности Соединенных Штатов, И. Д. Козочкин в числе прочих приводит следующий пример: такое федеральное преступление, как перегон похищенного автомобиля из одного штата в другой, в одном округе наказывалось в среднем 22 месяцами, а в другом – 42 месяцами тюремного заключения.[1356] Обратившись к приведенным выше данным практического исследования, нетрудно заметить, что у нас подобные и еще более значительные «чрезвычайно большие» различия имеют место не в разных округах, а в наказаниях, назначаемых разными судьями одного города, а часто и одного суда. Причем особого беспокойства ни в политических, ни в научных кругах по этому поводу не наблюдается.

Разумеется, Федеральным руководствам по назначению наказаний в научной среде США дается далеко не однозначная оценка. Можно без преувеличения сказать, что острый вопрос о границах судейского усмотрения при выборе вида и размера наказания не оставляет равнодушным ни одного ученого, и противники сужения сферы свободы судьи в пользу обеспечения единства и непротиворечивости карательной политики имеются не только в России, но и в США. Но, безусловно, можно отметить, что в США в отличие от России развитие уголовного законодательства применительно к вопросам назначения наказания идет по пути установления наиболее надежных гарантий формального равноправия граждан.

Следует отметить, что Федеральные руководства по назначению наказаний являются далеко не единственным примером конкретизации правового значения обстоятельств дела. В зарубежном законодательстве регламентация правового значения отдельных обстоятельств дела используется достаточно часто.

Например, ст. 57 УК Японии предусматривает возможность усиления наказания при рецидиве преступлений в два раза по сравнению с установленным за данное преступление максимальным сроком лишения свободы с принудительным трудом;[1357] ст. 68, 71 УК Японии достаточно жестко регламентируют вопрос о том, насколько должно смягчаться наказание при наличии смягчающих обстоятельств и иных предусмотренных законом оснований смягчения наказания; ст. 72 определяет последовательность применения правил о смягчении и усилении наказания; ст. 70 предусматривает устранение дробных частей, появившихся в результате применения законодательных правил о смягчении наказания.[1358]

В § 49 УК ФРГ четко регламентируется снижение минимальных и максимальных пределов санкций при наличии особых смягчающих обстоятельств, предусмотренных законом.[1359]

Параграф 70.04. УК штата Нью-Йорк предусматривает повышенные минимальные и максимальные сроки наказаний для лиц, повторно совершивших насильственную фелонию.[1360]

Уголовный кодекс Испании 1995 г. устанавливает наказание за покушение на преступление ниже на одну или две степени, чем предусмотрено за совершение этого преступления (ст. 62 УК Испании); иным соучастникам назначается наказание ниже на одну степень, чем исполнителям преступления (ст. 63).[1361]

Завершая анализ различных концепций формализации назначения наказания (и, соответственно, оценки правового значения обстоятельств дела), нужно отметить, что благодаря резкому неприятию научной общественностью идей формализации в отечественной науке данные вопросы исследованы достаточно слабо. В то же время за рубежом имеются не только научные труды, но и крупные нормативные акты, формализующие назначение наказания вообще и оценку правового значения обстоятельств дела в частности.

Выше уже было отмечено большое значение работ отечественных ученых в сфере измерения общественной опасности и оценки правового значения отдельных обстоятельств дела. Идеи, сходные с теми, которые заложены в этих исследованиях, нашли и практическое применение в законотворческом процессе. Так, в методе оптимизации санкций, предложенном С. В. Бородиным,[1362] который был положен в основу построения санкций в действующем УК РФ, так же, как и в работах Ю. Д. Блувштейна[1363] и В. Л. Чубарева,[1364] применяется определенная система балльных оценок. В частности, на основе балльных оценок СВ. Бородин проводит измерение семи выделенных им признаков состава преступления.[1365] Здесь следует оговориться, что поскольку вопрос построения санкций является достаточно сложной самостоятельной задачей, труды, посвященные механизму построения санкций, в настоящей работе не анализируются. Говоря об упомянутых работах С. В. Бородина, мы хотим лишь проиллюстрировать влияние разработок в сфере оценки общественной опасности на законодательство.[1366]

В новейшей литературе все чаще звучат идеи построения алгоритмов назначения наказания. Свежим примером такой литературы является работа Д. С. Дядькина, которая в целом посвящена алгоритмизации назначения наказания.[1367] Основываясь на позициях ряда ученых, автор делает следующие выводы. «Во-первых, система назначения наказания, основанная лишь на субъективных методах оценки общественной опасности преступления и строгости соответствующего ему наказания, имеет массу недостатков и на текущий момент уже не может полностью удовлетворить общество и государство. Во-вторых, построение строго формализованных моделей (систем) назначения наказания в силу отсутствия в их рамках возможности какой-либо индивидуализации обречено на неудачу. В-третьих, существующие на сегодняшний день модели имеют целый ряд недостатков, негативно сказывающихся на практике назначения наказания».[1368] Действительно, недостатки субъективного моделирования оценки общественной опасности преступления и тяжести наказания имеются, и мы неоднократно подвергали их критике.[1369] Но что предлагает взамен всему этому сам автор? Ничего. «Здесь, полагаем, человечество еще долго не сможет обойтись без экспертных оценок»,[1370] т. е. те же самые субъективные оценки, подвергаемые критике самим автором, он предлагает сохранить и в дальнейшем. Тогда ради чего все производимое им исследование, зачем было критиковать то, что является с его же позиции приемлемым на необозримое время? Ах, да, мы забыли об алгоритмизации назначения наказания, которая является центральной идеей работы. Однако и в этой области автор ничего оригинального не создал, кроме общих рассуждений о теории алгоритмов. Его идея алгоритмизации опирается на правила назначения наказания, предусмотренные уголовным законом, одни из которых он поддерживает, другие же подвергает критике, заменяя другими правилами. Вот и вся алгоритмизация. Однако именно данная «алгоритмизация» приводит сегодня к судебному произволу, именно она вызывает неприятие среди специалистов, не готовых согласиться с поведением судей, напоминающим ковыль на ветру и зависящим от легкого дуновения ветерка.

Однако, несмотря на то, что упоминавшиеся методики измерения общественной опасности и оказали определенное влияние на построение санкций, они, тем не менее, до настоящего времени не нашли применения в сфере выбора вида и размера наказания в рамках самой санкции, где, казалось бы, для их использования открывается наибольший простор. Думается, что такое положение связано не только с субъективным неприятием идей формализации назначения наказания и оценки правового значения обстоятельств дела, но и с объективными трудностями, возникающими при попытке применить указанные методики в данной сфере.

Здесь следует отметить, что описанные модели, предназначенные для измерения общественной опасности, достаточно сложны в применении. Это уже само по себе затрудняет их внедрение в качестве средств оценки правового значения обстоятельств дела в закон, который должен быть по возможности понятен и доступен самым различным лицам.

Предлагаемые методики оценки общественной опасности изначально рассматриваются авторами не только как системы оценки правового значения различных обстоятельств дела, но и как средство для проверки обоснованности имеющихся в законе санкций и возможной их оптимизации.[1371] Эти методики никогда не смогут работать исключительно в рамках установленной санкции, поскольку они не учитывают реально существующие границы санкций, не принимают их как аксиому, а подвергают ревизии. В результате методика работает в рамках не любой относительно-определенной санкции, а только той, которая с позиций этой методики является обоснованной. Собственно говоря, строить на основе какой-либо методики относительно определенные санкции, а затем на ее же основе продолжать выбор вида и размера наказания в рамках построенных санкций незачем. Достаточно создать в законе систему абсолютно определенных санкций и закрепить правила оценки различных обстоятельств дела, в зависимости от которых эти санкции будут изменяться, и можно будет сразу, минуя построение относительно определенных санкций, сопоставлять тому или иному значению общественной опасности соответствующее наказание.

Данное обстоятельство говорит о том, что такие методики претендуют на роль универсальных, самодостаточных систем, которые предполагают построение новой системы санкций, основанной на абсолютно определенных показателях, а затем уже оценку на базе этих санкций правового значения обстоятельств дела. Они ориентированы, скорее, не на развитие формализации назначения наказания путем оценки обстоятельств дела в рамках существующей санкции, а на замену существующей системы формализации назначения наказания, основанной на относительно определенных санкциях, на иную систему формализации. Это обстоятельство делает внедрение таких методик в законодательство, по существу, нереальным. Отечественный законодатель сегодня не готов к столь серьезным изменениям системы назначения наказания.

Думается, что на сегодняшний день задача состоит не в глобальной замене существующей системы формализации назначения наказания, основанной на относительно определенных санкциях, на иную, принципиально новую, а в обеспечении назначения на основе закона справедливого наказания в рамках существующих санкций, сужении пределов судейского усмотрения, которое при выборе наказания в рамках санкции чрезмерно велико и бесконтрольно. Для этого необходимо отделить вопрос построения санкций от вопроса назначения наказания в пределах санкции и создать систему оценки правового значения обстоятельств дела, которая будет исходить из обоснованности установленных законодателем санкций и обеспечивать учет обстоятельств дела в их рамках.

Здесь также возможны различные варианты. Можно пойти путем указания того, на какую часть, долю может или должно изменяться наказание при наличии соответствующих обстоятельств (например, наполовину или на одну треть, как это предусматривалось ранее в ст. 18а и 18б УК 1922 г., в ст. 50 УК 1926 г. в редакции 1929 г.). В этом случае суд вначале назначает наказание как бы в отсутствие соответствующего обстоятельства, не учитывая его, а затем снижает или увеличивает размеры наказания на определенную часть (долю) с учетом данного обстоятельства.

Думается, что такой способ формализации назначения наказания является не совсем удачным: судья, назначая «первоначальное» наказание, в котором не должны быть учтены соответствующие обстоятельства, все равно не сможет полностью абстрагироваться от этих обстоятельств. Если в деле будет присутствовать обстоятельство, которое требует, например, увеличения наказания на одну треть, то судья будет назначать «первоначальное» наказание с учетом того, что в дальнейшем его придется на одну треть увеличить. В результате подобная конкретизация в законе правового значения обстоятельств дела вряд ли обеспечит единство их оценки в практике разных судей.

Иногда в литературе предлагается обозначить в законе силу влияния на наказание обстоятельств дела путем указания пределов, ниже или выше которых суд не может назначить наказание при наличии соответствующего обстоятельства.[1372] В этом случае суд варьирует наказание в «новых пределах», установленных законодателем применительно к конкретному обстоятельству. Например, предлагалось оговорить, что в случаях предотвращения виновным вредных последствий совершаемого им преступления, явки с повинной и активного способствования раскрытию преступления наказание, назначаемое судом, не может превышать трех четвертей максимального размера санкции статьи, по которой осуждается виновный.[1373] Высказывалось также предложение, чтобы минимальный размер наказания в отношении особо опасного рецидивиста был не менее половины максимального размера наиболее строгого вида наказания, предусмотренного санкцией статьи.[1374]

Эти предложения практически буквально были восприняты в УК 1996 г. Тем не менее представляется, что и они имеют серьезные недостатки.

Более 800 000 книг и аудиокниг! 📚

Получи 2 месяца Литрес Подписки в подарок и наслаждайся неограниченным чтением

ПОЛУЧИТЬ ПОДАРОК